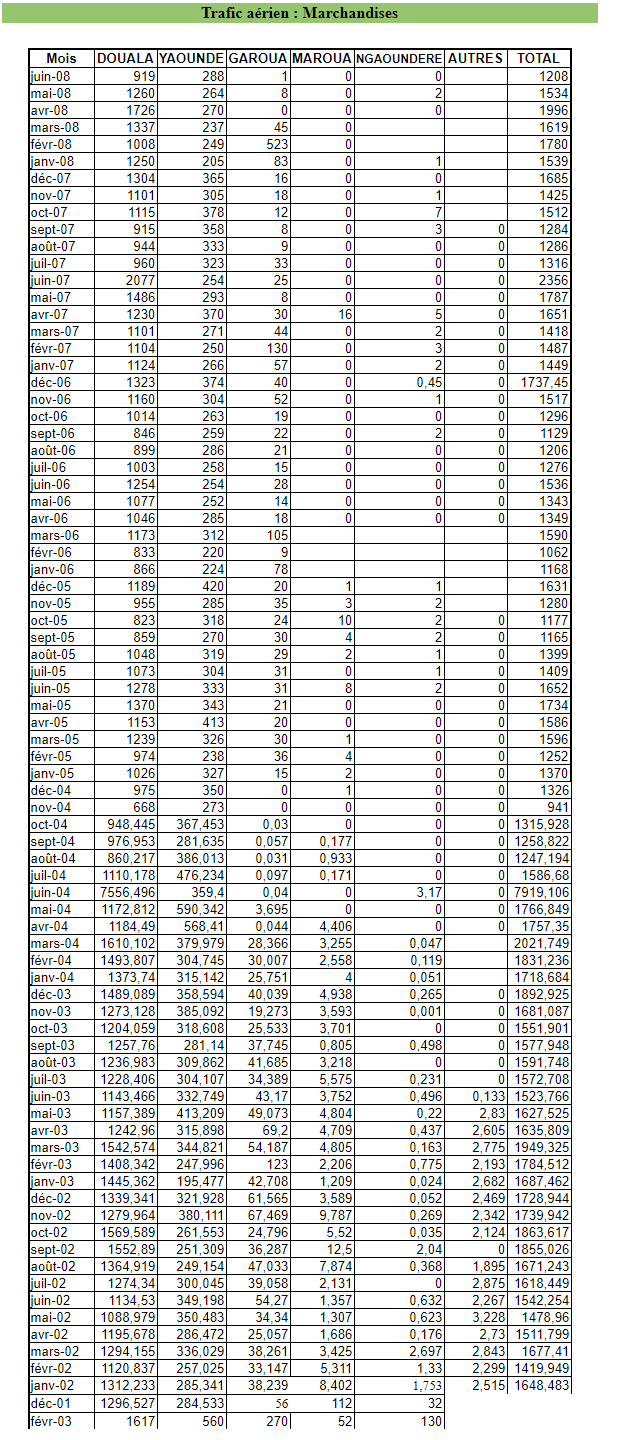
Air Traffic: Cargo

[rank_math_breadcrumb]

Quick Access

Newsletter

Insert a form here

Latest publications

Note d’analyse de l’Indice des Prix à la Production Industrielle (IPPI, Deuxième trimestre 2025)

Nationals accounts (2nd quarter 2025)

National Accounts 2024

Industrial Producer Price Index – 1st quarter 2025

Monthly Note on the Evolution of Household Final Consumer Prices in Cameroon June 2025